双極性障害を数理モデル化する試みは、すでにいくつかの系譜があります。ここでは、
- 既存モデルの整理
- MAD理論との接続
- 予測処理理論との接続
- エネルギー代謝仮説との統合
- 統合理論としての最小モデル提案
という順で整理します。
1. 既存の数理モデル
(A) 力学系モデル(微分方程式系)
もっとも古典的なのは、気分を時間連続変数として扱うモデルです。
代表例は、
Jane M. Borodkin や
Richard McAllister
らによる非線形振動モデル。
基本構造
気分 M(t) を連続変数とし、
- 正のフィードバック(躁方向)
- 負のフィードバック(抑うつ方向)
- 外的ストレス入力
を含む非線形微分方程式で表す。
多くの場合、以下のような形になります:

[
\frac{dM}{dt} = aM – bM^3 + I(t)
]
これは 双安定ポテンシャル系 を作り、
- 一方が躁状態
- 他方がうつ状態
になります。
周期的揺動が自然に出現します。
(B) 概日リズムモデル
双極性障害は睡眠・概日リズム異常と密接。
概日時計(SCN)の位相ずれを導入し、
- 生理リズム振動子
- 気分振動子
のカップリングとして表す。
この方向は Ellen Frank の臨床理論とも接続可能。
(C) 強化学習モデル
近年では、
- 報酬予測誤差の過大評価 → 躁
- 過小評価 → うつ
として、ドーパミン系を組み込むモデルもあります。
2. MAD理論による再構成
MAD理論では三変数系に拡張できます:
- M(t):Motivation(目標価値)
- A(t):Affect(情動トーン)
- D(t):Drive(行動駆動)
双極性障害は、
- Mの過剰拡大(躁)
- Aの正負振動増幅
- Dの急上昇/急下降
として表せます。
三変数力学系(概念モデル)

[
\frac{dM}{dt} = f(A,D) – \gamma_M M
]
[
\frac{dA}{dt} = g(M) – \gamma_A A
]
[
\frac{dD}{dt} = h(M,A) – \gamma_D D
]
ここで非線形結合を導入すると、
- 正帰還ループ → 躁エピソード
- 過剰補償反応 → うつ相
が自然に生まれます。
躁は「高エネルギー安定点」、
うつは「低エネルギー安定点」。
3. 予測処理理論との接続
予測処理理論では、重要なのは
- 精度(precision)重み付け
です。
躁状態では:
- 予測の精度重みが過大
- 外界誤差を無視
- 過信・誇大
うつ状態では:
- 誤差信号が過大
- 自己否定予測が固定化
これを数式化すると:

[
\dot{M} \propto \pi_p \cdot Prediction – \pi_e \cdot Error
]
躁では π_p >> π_e
うつでは π_e >> π_p
双極性は、
precisionの動的振動
として表現可能です。
4. エネルギー代謝仮説との統合
エネルギー変数 E(t) を導入します。

[
\frac{dE}{dt} = metabolic\ input – consumption(M,D)
]
躁では:
- 消費が増大
- Eが枯渇
- 反動的うつ
これは「オーバーシュート振動」として表せます。
つまり、
双極性障害は:
高利得制御系+エネルギー制約付き振動系
とみなせる。
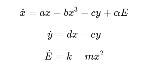
5. 最小統合モデル(提案)
最小限で表すと:
変数:
- x = 価値拡張(躁方向)
- y = 抑制(うつ方向)
- E = エネルギー資源
方程式:

[
\dot{x} = ax – bx^3 – cy + \alpha E
]
[
\dot{y} = dx – ey
]
[
\dot{E} = k – m x^2
]
この系は:
- 双安定構造
- エネルギー制約
- 過剰増幅 → 崩壊
を自然に再現します。
6. 重要な理論的問い
- 双極性は「振動系」か「切替系」か?
- トリガーは外部ストレスか内部代謝か?
- なぜ周期が個人で異なるのか?
- 双極II型は同じモデルで説明可能か?
7. MAD理論から見た本質
双極性障害は単なる「気分の上下」ではなく、
意味付与システムの振動
です。
躁では:
- 世界が過剰に意味化される
うつでは:
- 世界が意味を失う
この意味振動を、エネルギー制約付き非線形系として扱うのが最も整合的です。
